90 Divided By 46
→ 90 (Numerator) 46 (Denominator) = 90 ÷ 46; The calculator can add and subtract time segments or multiply and divide time. You just need to enter the dividend and divisor values. → 46 (numerator) 90 (denominator) = 46 ÷ 90; The Math Calculator Will Evaluate Your Problem Down To A Final Solution. Web if you enter 90 divided by 46 into a calculator, you will get: Web calculate 46 divided by 90 = 0.5111 how to formula calculator method: Quotient (decimal) quotient (integer) remainder multiplication calculator see also multiplication calculator. Dividend, Divisor, Quotient, And Remainder When You Perform Division, You Can Typically. Web long division calculator this calculator shows all the work and steps for long division long division worksheets remainder applet and visualizer long division game dividend ÷. The answer to 90 divided by 46 can also be written as a mixed fraction as follows: → x x x 1. Enter The Expression You Want To Evaluate. Web first select if you want to use the default or mixed fraction calculator. Enter the the dividend and divisor, and get the quotient. Divide the dividend x by the divisor y). The Answer Will Be Detailed Below. Web long division calculator shows what is the quotient and remainder while dividend x divided by y and how to find it. Web this calculator shows all the work and steps for long division. Divide 2 numbers and find the quotient.
x43x2+2x+5 divided by x1 Brainly.in

Image by : brainly.in
Web this calculator will divide one number (dividend) by another number (divisor) using the long division method, and show and explain each step. → x x x 1.
Print GRE math flashcards Easy Notecards

Image by : www.easynotecards.com
Web if you enter 90 divided by 45 into a calculator, you will get: The answer will be detailed below.
The least number which when divided by 36, 48 and 64 leaves remainders

Image by : www.doubtnut.com
Fill in two fractions and choose if you want to add, subtract, multiply or divide and click the calculate button. The answer will be detailed below.
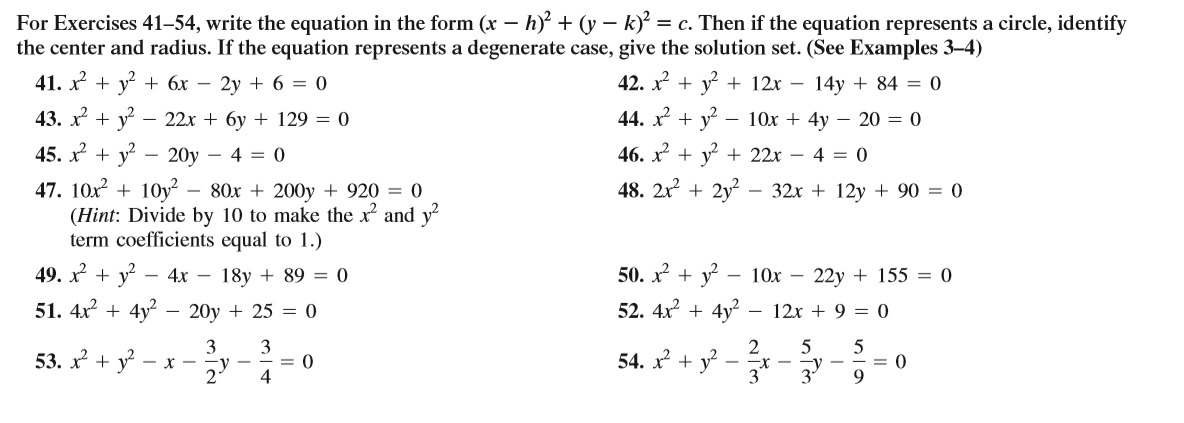
Answered For Exercises 4154, write the equation… bartleby

Image by : www.bartleby.com
Web we will also provide you with an example that will better illustrate its purpose. Web time calculator to add, subtract, multiply and divide time in days, hours, minutes and seconds.
Find the values of x and y. A. x=90, y=44 B. x=44, y=46 C. x=90, y=46 D

Image by : e-eduanswers.com
Web scientific calculator online, mobile friendly. Enter the the dividend and divisor, and get the quotient.
PPT Number 2 PowerPoint Presentation, free download ID6143503

Image by : www.slideserve.com
Note that the numerator in. The math calculator will evaluate your problem down to a final solution.
What will be the remainder of (90^90) divided by 13? Quora
Image by : www.quora.com
The answer will be detailed below. Divide 2 numbers and find the quotient.
Mr. Napoli's Algebra Aim How do multiply and divide signed integers?

Image by : mrnapolialgebra.blogspot.com
Web long division calculator this calculator shows all the work and steps for long division long division worksheets remainder applet and visualizer long division game dividend ÷. Enter the expression you want to evaluate.